在线视频中文字幕福建新華聯合印務集團
·
·
公(gong)示公告(gao)

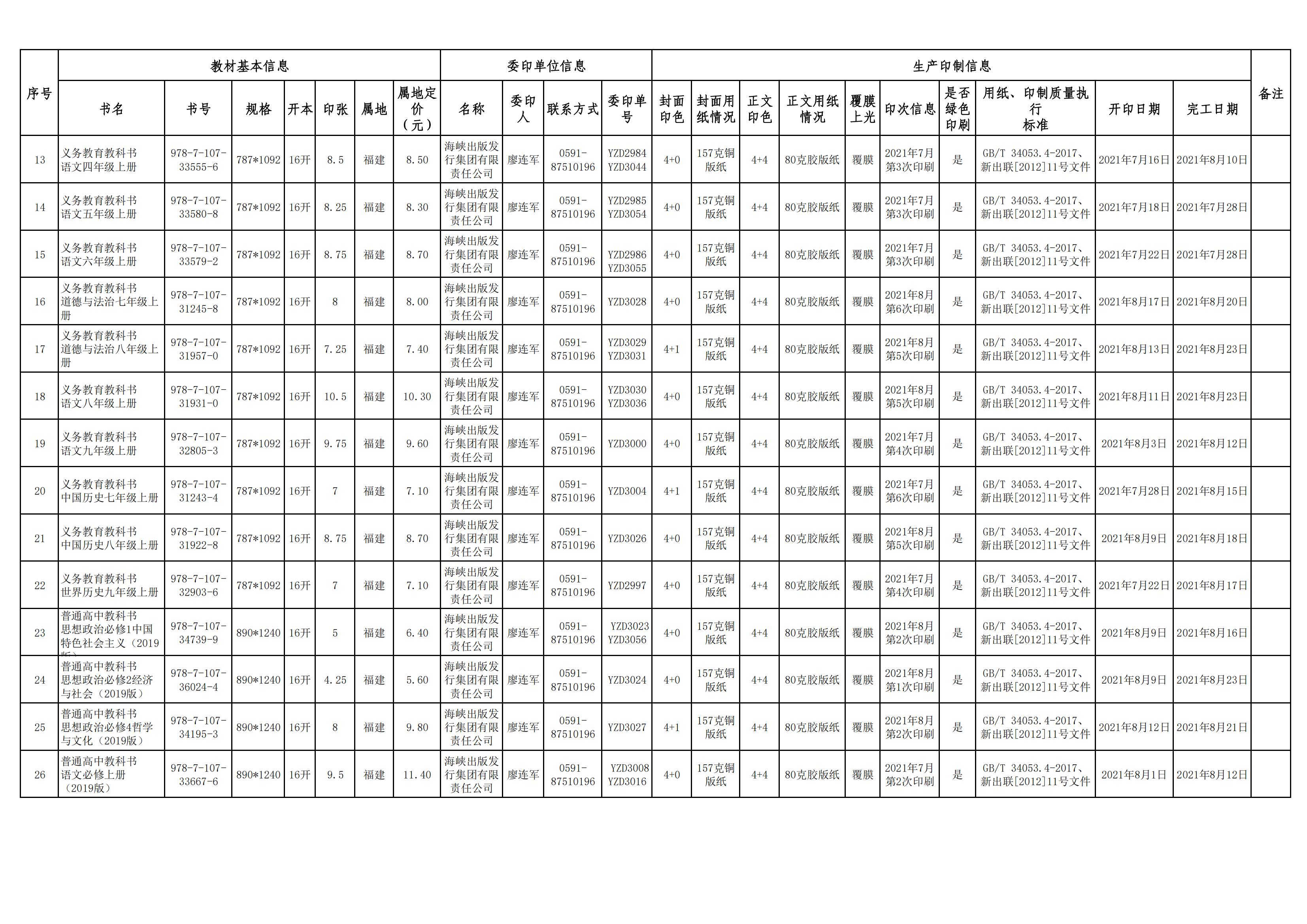
2021年秋(qiu)統編三(san)科教材(cai)生産印(yin)制信息(xi)公示明(ming)細表

2021年(nian)秋統編(bian)三科教(jiao)材生産(chan)印制信(xin)息公示(shi)明細表(biao)如下:
2025-11-22 11:26來(lai)源: 市場(chang)營銷部(bu)

手機端(duan)

PC端

 
 
·
·
·
·
 
 ·